RESEARCH ARTICLE
Some Characterization and Relations Based on K-th Lower Record Values
Ali A. Al-Shomrani*
Article Information
Identifiers and Pagination:
Year: 2016Volume: 7
First Page: 36
Last Page: 44
Publisher Id: TOSPJ-7-36
DOI: 10.2174/1876527001607010036
Article History:
Received Date: 9/05/2016Revision Received Date: 24/07/2016
Acceptance Date: 26/08/2016
Electronic publication date: 10/10/2016
Collection year: 2016
open-access license: This is an open access article licensed under the terms of the Creative Commons Attribution-Non-Commercial 4.0 International Public License (CC BY-NC 4.0) (https://creativecommons.org/licenses/by-nc/4.0/legalcode), which permits unrestricted, non-commercial use, distribution and reproduction in any medium, provided the work is properly cited.
Abstract
In this paper, we obtain certain expressions and recurrence relations for two general classes of distributions based on some conditional expectations of k-th lower record values. We consider the necessary and sufficient conditions such that these conditional expectations hold for some distribution functions. Furthermore, an expression of conditional expectation of other general class of distributions through truncated moments of some random variable is considered. Some distributions as examples of these general classes are shown in Tables 1 and 2 accordingly.
INTRODUCTION
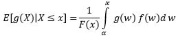
Record values are found in many real lifetime datasets such as observing new records in k-th highest or k-th lowest values of weather-conditions, temperatures, water-levels, Olympic or world records in sports. In addition, record values are used in theory of reliability. Furthermore, these statistics are related to the occurrence times of some non-homogenous Poisson process used in shock models Kamps [1]. Chandler [2] started the statistical study of record values as a model considering dependence structure for successive extremes in a sequence of independent and identically distributed (iid) random variable. This means that, the life-length distribution of system components may change after the failure of each component. Dziubdziela and Kopocinski [3] proposed the limiting distribution of k-th record values where k is some positive integer. Many authors have considered characterization of distributions through conditional expectation of record values, for instance, Nagaraja [4], Franco and Ruiz [5, 6], Khan and Alzaid [7], Khan, Faizan, and Haque [8], and Lopez-Blazques and Moreno-Rebollo [9]. For more information in the theory of records and its distributional properties and some characterizations of k-th record values can be found in, for example, Ahsanullah [10, 11], Arnold, Balakrishnan, and Nagaraja [12], Nevzorov [13], Deheuvels [14], Nagaraja [15], Raqab and Awad [16] and references therein.
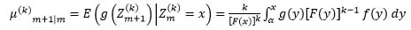
Let {Xi, i ≥ 1} be a sequence of independently and identically distributed (iid) random variables with cumulative distribution function (cdf)F(x) and probability density function (pdf)f(x). For a fixed k ≥ 1, the kth lower record value of X'i s is defiend by:

Note that
with
are lower record values.
For

we have the following (see Ahsanullah [10, 11], Arnold, Balakrishnan, and Nagaraja [12], Nevzorov [13]:
The pdf of Zr(k) and (Zr(k), Zs(k)) are as follows:
![]() |
(1) |
![]() |
(2) |
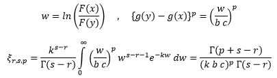
We shall denote:
![]() |
(3) |
![]() |
(4) |
![]() |
(5) |
Such that g is a continuous, monotonic and differentiable function on (α,β).
MAIN RESULTS
In this paper, we present three general classes of distributions whose cdf’s are:
![]() |
(6) |
![]() |
(7) |
![]() |
(8) |
such that g is a continuous, monotonic and differentiable function on (α,β).
We extend using the cdf in (6) some work of Al-Shomrani and Shawky [17] as shown in Theorem 1 by characterizing this first general form of distributions through conditional expectation of p-th power of difference of functions of two k-th lower record values. Moreover, Theorems 2.5 and 2.6 in Shawky and Abu-Zinadah [18] and Theorems 3 and 4 in Shawky and Bakoban [19] are generalized as shown in Theorems 2 and 3 using the cdf in (7) by characterizing the second general class of distributions through conditional expectation of k-th lower record values. Lastly, we show that equation (2.1.1) in Hamedani, Javanshiri, Maadooliat, and Yazdani [20] is a special case of Theorem 4 by using the cdf in (8) as the third general class of distributions based on truncated moments of some random variable. Some distributions as members of these general classes are given as examples in Tables 1 and 2.
Theorem 1:
Let X be an absolutely continuous random variable with cdf F(x) and pdf f(x) on the support (α,β), F(α) = 0 and F(β) = 1. Then, for two values of r and s, 1 ≤ r < s ≤ n (where
as defined above).
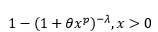
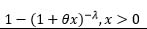
| Distribution | F(x) | g(x) | a | b | c | d |
|---|---|---|---|---|---|---|
| Weibull | ![]() |
xp | 1 | -1 | θ | 1 |
| Pareto of the first kind | ![]() |
lnx | 1 | -λp | p | 1 |
| Burr XII | ![]() |
ln (1+θxp) | 1 | -1 | λ | 1 |
| Rayleigh | ![]() |
x2 | 1 | -1 | θ | 1 |
| Lomax | ![]() |
ln (1+θx) | 1 | -1 | λ | 1 |
| Inverse Weibull | ![]() |
x-p | 0 | 1 | θ | 1 |
| Power function | ![]() |
![]() |
0 | 1 | -p | 1 |
| Rectangular | ![]() |
ln(x-β) | 0 | ![]() |
-1 | 1 |
| Pareto of the second kind | ![]() |
ln (1+x) | 1 | -1 | λ | 1 |
| Exponential | ![]() |
x | 1 | -1 | λ | 1 |
| Inverse Exponential | ![]() |
![]() |
0 | 1 | λ | 1 |
| Kumaraswamy | ![]() |
ln (1-xp) | 1 | -1 | -λ | 1 |
| Exponentiated Frechet | ![]() |
![]() |
1 | -1 | -θ | 1 |
| Exponentiated exponential | ![]() |
ln (1-e -λx) | 0 | 1 | -θ | 1 |
| Burr X (Exponentiated Rayleigh) | ![]() |
x2 | 1 | -1 | β | α |
| Exponentiated Weibull | ![]() |
xp | 1 | -1 | β | α |
| Distribution | F(x) | g(x) | a | b | c | d | p |
|---|---|---|---|---|---|---|---|
| Weibull | ![]() |
![]() |
0 | 1 | 1 | -1 | 1 |
| Pareto of the first kind | ![]() |
![]() |
1 | -1 | 0 | λ | β |
| Burr XII | ![]() |
xp | 1 | -1 | 1 | θ | -λ |
| Rayleigh | ![]() |
![]() |
0 | 1 | 1 | -1 | 1 |
| Lindley | ![]() |
![]() |
1 | ![]() |
0 | 1 | 1 |
| Lomax | ![]() |
x | 1 | -1 | 1 | θ | -λ |
| Dagum | ![]() |
x-β | 0 | 1 | 1 | θβ | -α |
| Pareto of the second kind | ![]() |
x | 1 | -1 | 1 | 1 | -λ |
| Exponential | ![]() |
ex | 0 | 1 | 1 | -1 | -λ |
| Cauchy |
![]()
|
![]() |
![]() |
![]() |
0 | 1 | 1 |
| Kumaraswamy | ![]() |
xp | 1 | -1 | 1 | -1 | λ |
| Exponentiated Gumbel | ![]() |
![]() |
1 | -1 | 1 | -1 | θ |
| Exponentiated power Lindley | ![]() |
![]() |
0 | 1 | 1 | ![]() |
α |
![]() |
(9) |
if and only if:

Where g(x) is a continuous, differentiable and non-decreasing function of x and p is a positive integer.
Proof:
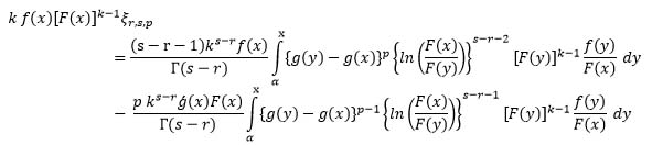
For proving the necessary part, from (1) and (2), we have for s≥ r+1:
![]() |
(10) |
Using (6), suppose,

Hence the necessary part is proven.
For the sufficiency part, it is clear from (10) that:
![]() |
(11) |
Differentiating both sides in (11) with respect to x, we get:

Using (10), we can get that:

and from (9),

which gives:

Therefore, the proof is completed.
Remark:
When k = 1and c=1, which is the special case of theorem 1 above, has been established in Al-Shomrani and Shawky [17].
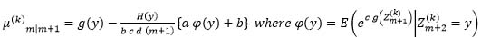
Theorem 2:
Let X be an absolutely continuous random variables with distribution function F(x) and xϵ (α,β), F(α) = 0 and F(β) = 1, then:

if and only if:
![]() |
(12) |
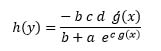
Where b, c and d ≠ 0 are finite constants and g(x) is a continuous, monotonic and differentiable of x on the support (α,β).
Proof:
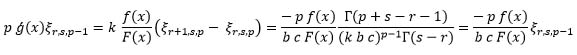
Proving the necessary part, in view of (3), we can get:
![]() |
(13) |
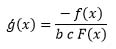
Now, from (7), we obtain:

which gives:
![]() |
(14) |
Substituting (14) into (13), we get:

Therefore, (12) is obtained.
For proving the sufficiency part, from (12) and (13), we obtain:
![]() |
(15) |
Differentiating both sides in (15) with respect to x, we get:

Hence, the proof is completed.
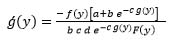
Remarks:
(1) For k = 1 and d=1 in theorem 2 above, it has been obtained in Shawky and Abu-Zinadah [18].
(2) For k = 1 in theorem 2, it has been addressed in Shawky and Bakoban [19].
(3) If a = 0 in (11) then
.
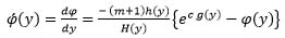
Theorem 3:
If F(x) < 1 be any cdf of the continuous random variable X and xϵ (α,β), F(α) = 0 and F(β) = 1, then:

if and only if,
![]() |
(16) |
Where b, c and d ≠ 0 are finite constants and g(x) is a continuous, monotonic and differentiable of x on the support (α,β).
Proof:
For the necessary part, in view of (4), it is straightforward to get:
![]() |
(17) |
Substituting (14) into (17) result in:

this completes the necessary part.
For the sufficiency part, we have from (16) and (17) that:
![]() |
(18) |
From (16), we get,
![]() |
(19) |
Differentiating both sides in (18) with respect to y and substituting (19), we have:

hence, the theorem is proved.
Remarks:
(1) Fork=1 and d=1 in theorem 3 above, this case has been addressed in Shawky and Abu-Zinadah [18].
(2) Fork=1 in theorem 3, it has been obtained in Shawky and Bakoban [19].
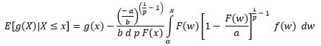
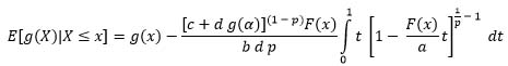
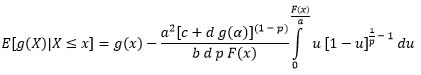
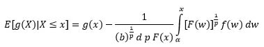
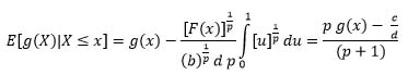
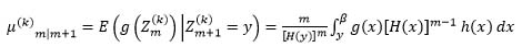
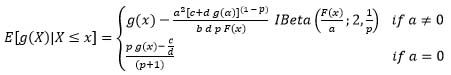
Theorem 4:
Referring to (5) and (8), then:
![]() |
(20) |

Proof:
If a ≠ 0 and from (5) and using integration by parts, we get,
![]() |
(21) |
Now, using (8), we have:

this implies,
![]() |
(22) |
Substituting (22) into (21), we get:

Let
, then

Where

Let u =
, then

Therefore, the upper part of (20) is achieved.
If a = 0 and from (21) and (22) then,

Let
, then

Thus, the lower part of (20) is achieved.
Remark:
The RHS of equation (20) where a = 0 is the same as that of equation (2.1.1) in Hamedani, Javanshiri, Maadooliat, and Yazdani [20].
CONCLUSION
In this study some characterization results and recurrence relations of certain distributions based on the k-th lower record values for three general classes are obtained. Firstly, we characterize the first general form of distributions through conditional expectation of p-th power of difference of functions of two k-th lower record values as shown in Theorem 1. Secondly, two Theorems 2 and 3 are presented for two recurrence relations of the second general class of distributions through conditional expectation of k-th lower record values. Thirdly, we establish an expression of conditional expectation for the third general class of distributions based on truncated moments of some random variable as shown in Theorem 4. Finally, we show examples of some distributions related to these general classes as in Tables 1 and 2.
CONFLICT OF INTEREST
The author confirms that this article content has no conflict of interest.
ACKNOWLEDGEMENTS
The author thanks the anonymous referees for their valuable suggestions which let to the improvement of the manuscript.




































































